FC Inter 1908
I migliori video scelti dal nostro canale

copertina

Inter, cala il costo della rosa: da 251 mln a 219 mln. Tutti i valori dei giocatori

Inter, cala il costo della rosa: da 251 mln a 219 mln. Tutti i valori dei giocatori

Calcio e Finanza ha confrontato i costi della rosa nelle ultime due stagioni: riduzione del 15% come richiesto da Suning

Eva A. Provenzano

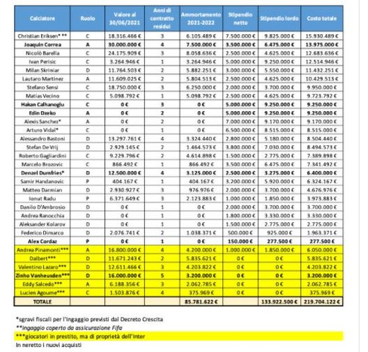
Il costo complessivo della rosa dell'Interè sceso in questa stagione rispetto alla stagione 2020-2021. Calcio e Finanza ha stimato l'impatto a bilancio dei calciatori nerazzurri considerando gli stipendi lordi (quanto effettivamente paga il club) e la quota di ammortamento o il costo del prestito dei giocatori partiti in estate.

La rosa costa 31,7 mln in meno se si prendono in considerazione i giocatori della rosa di Inzaghi e quelli partiti in prestito ma di proprietà della società milanese.

 Getty Images

La rosa di questa stagione vale 219 mln di euro e questa sarà la cifra che impatterà sul bilancio, salvo eventuali altre cessioni nel mercato di gennaio. Nella scorsa stagione il valore della rosa era pari a 251,4 mln. Sulla cifra ha ovviamente inciso l'addio di Lukaku e quello di Hakimi: entrambi pesavano sui conti dell'Inter per 38 mln tra stipendi percepiti (al lordo) e ammortamenti.

La tabella pubblicata da Calcio e Finanza

La tabella pubblicata da Calcio e FinanzaNella scorsa stagione sono partiti anche Padelli e Young, ci sono state le risoluzioni di Nainggolan e Joao Mario. E sono stati ceduti in prestito Lazaro, Agoume, Vanheusden, Dalbert, Salcedo.

Sono arrivati Correa (30 mln totali tra prestito e obbligo di riscatto), Dumfries (12.5 mln), Vanheusden è stato ripreso dallo Standard e girato in prestito al Genoa (16 mln). Sono arrivati a costo zero Dzeko e Cordaz e Calhanoglu era svincolato. Tra ammortamenti dei giocatori acquistati e stipendi lordi si parla di un costo totale di 43 mln di euro scrive C&F.

Gli stipendi più alti sono quelli di Sanchez e Vidal, seguiti da Perisic, Calhanoglu e Dzbeko. Eriksen percepirebbe lo stipendio più alto, ma l'Inter avrà un aiuto dalla FIFA dopo quanto accaduto all'Europeo.

Il sito ha messo quindi a confronto le due stagioni. Spiegano che "il peso dei calciatori sul bilancio dell’Inter nella stagione 2021/22 dovrebbe aggirarsi intorno ai 219,7 milioni di euro, in calo di circa 31,7 milioni rispetto ai 251,4 milioni del bilancio 2020/21: una diminuzione pari a circa il 14%, in linea con quelle che erano le richieste della proprietà Suning, che a inizio mercato aveva indicato nel 15/20% rispetto alla passata stagione". 

(Fonte: Calcio e Finanza)

tutte le notizie di